|
|||
| TEC-0-1-57 | |||
| ホーム > 物理学正典 > 初等力学正典 > TEC-0-1-57 | |||
次のページ 前のページ 目次 |
|||
| ▲このページの上端へ行く |
|||
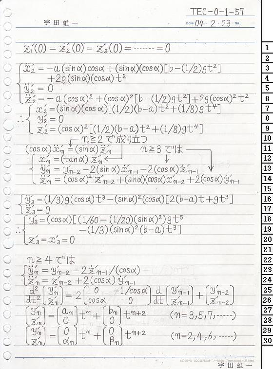
【補足説明欄】 TEC-0-1-57〜60の内容は、CAN-1-1-10-19〜CAN-1-1-11-11の問題に対して、TEC-0-1-19-18〜TEC-0-1-21-11の解法を全次数に渡って完遂した物です。 CAN-1-1-10-28の符号ミスの影響が出ている、と考えられます。2014.10.26 1行目の等式は、先行する条件から導き出された物ではありません。 宇田が勝手に置いた物です。 厳密解を見付けるのが目的だから、条件を勝手に置く事は、探索範囲を指定する事に当たります。 その範囲内に厳密解が見付かれば、その事によって、その置き方は正当化されます。2014.10.26 3〜6行目の式は、TEC-0-1-20-17〜21の式に、TEC-0-1-21-3,5,6の式を代入する事によって、得られます。2014.10.26 7〜9行目の式は、3〜6行目の微分方程式の解です。 ただし、TEC-0-1-20-27〜TEC-0-1-21-1,TEC-0-1-57-1の初期条件を使って積分定数を決定しています。2014.10.26;2014.11.02 11行目の等号の成立根拠は、TEC-0-1-20-17,18,20,21,23,25の式です。2014.10.26 12行目の等号の成立根拠は、11行目の等号の成立とTEC-0-1-20-27,29;TEC-0-1-21-1;TEC-0-1-57-1の初期条件です。2014.10.26;2014.11.02 13行目の式は、TEC-0-1-20-24です。2014.10.26 14行目の式は、TEC-0-1-20-25です。2014.10.26 16,17行目の式は、13,14行目の式に、n = 3 とTEC-0-1-21-5,6の式と、TEC-0-1-57-7〜9の式を代入して得られた式です。2014.10.26 16行目の式は計算ミスを含んでいます。 正しくは、 d2y'3/dt2 = (1/3)g(cosα)t3 - (cosα)[2(b-a)t + gt3] です。 右辺を整理すると、 d2y'3/dt2 = -(2/3)g(cosα)t3 - 2(b - a)(cosα)t に成ります。2014.11.02 18〜20行目の式は、16,17行目の微分方程式をTEC-0-1-20-27〜TEC-0-1-21-1,TEC-0-1-57-1の初期条件の下で解いた後で、TEC-0-1-57-12の式を適用した結果です。2014.10.26;2014.11.02 18,19行目の式は、16行目の式に含まれるミスを受け継いでいます。 それを修正すると、正しくは、 y'3 = -(1/30)g(cosα)t5 - (1/3)(b - a)(cosα)t3 と成ります。2014.11.02 23,24行目の式は、13,14行目の式の右辺を、12行目の式を使って整理した結果です。2014.10.26 25,26行目の式は、23,24行目の式を行列を使って書き換えた式です。2014.10.26 27〜30行目の置き方は、8,9行目の式と18〜20行目の式と23〜26行目の式によって、正当化されます。 23行目の式から、y'n-2 = 0, z'n-1 = 0 ならば d2y'n/dt2 = 0 である事が、n≧4に対して言えます。 この事とTEC-0-1-20-28,30の初期条件から、y'n-2 = 0, z'n-1 = 0 ならば y'n = 0 である事が、n≧4に対して言えます。 24行目の式から、z'n-2 = 0, y'n-1 = 0 ならば d2z'n/dt2 = 0 である事が、n≧4に対して言えます。 この事とTEC-0-1-21-1,TEC-0-1-57-1の初期条件から、z'n-2 = 0, y'n-1 = 0 ならば z'n = 0 である事が、n≧4に対して言えます。 ∴z'n-1 = 0, y'n = 0 ならば z'n+1 = 0 (n ≧ 3) この条件と、 y'n-2 = 0, z'n-1 = 0 ならば y'n = 0 (n ≧ 4) から、 y'n-2 = 0, z'n-1 = 0 ならば z'n+1 = 0 (n ≧ 4) が言えます。 これで、k = 2, 3, 4, ・・・に対して、y'2k-2 = 0, z'2k-1 = 0 ならば y'2k = 0, z'2k+1 = 0 だ、と分かった事に成ります。 この事と y'2 = 0(TEC-0-1-57-8), z'3 = 0(TEC-0-1-57-20)から、k = 1, 2, 3, ・・・に対して y'2k = 0, z'2k+1 = 0 である事を、数学的帰納法で証明できます。 これが、TEC-0-1-57-28,29の妥当性の根拠です。 k ≧ 4 では、n = k - 2 に対して z'n = αntn + βntn+2 で、n = k - 1 に対して y'n = antn + bntn+2 ならば、24行目の式から、 d2z'k/dt2 = αk-2tk-2 + βk-2tk + 2(cosα)[(k - 1)ak-1tk-2 + (k + 1)bk-1tk] = [αk-2 + 2(cosα)(k - 1)ak-1]tk-2 + [βk-2 + 2(cosα)(k + 1)bk-1]tk ∴ z'k = k-1(k - 1)-1[αk-2 + 2(cosα)(k - 1)ak-1]tk + (k + 1)-1(k + 2)-1[βk-2 + 2(cosα)(k + 1)bk-1]tk+2 ∵ TEC-0-1-21-1,TEC-0-1-57-1の初期条件 従って、n = k に対しても、z'n = αntn + βntn+2 という置き方が妥当します。 またk ≧ 4 では、n = k - 2 に対して y'n = antn + bntn+2 で、n = k - 1 に対して z'n = αntn + βntn+2 ならば、23行目の式から、 d2y'k/dt2 = ak-2tk-2 + bk-2tk - (2/cosα)[(k - 1)αk-1tk-2 + (k + 1)βk-1tk] = [ak-2 - (2/cosα)(k - 1)αk-1]tk-2 + [bk-2 - (2/cosα)(k + 1)βk-1]tk ∴ y'k = k-1(k - 1)-1[ak-2 - (2/cosα)(k - 1)αk-1]tk + (k + 1)-1(k + 2)-1[bk-2 - (2/cosα)(k + 1)βk-1]tk+2 ∵ TEC-0-1-20-28,30の初期条件 従って、n = k に対しても、y'n = antn + bntn+2 という置き方が妥当します。 この結果を、k ≧ 3 では、n = k - 1 に対して y'n = antn + bntn+2 で、n = k に対して z'n = αntn + βntn+2 ならば、n = k + 1 に対しても、y'n = antn + bntn+2 という置き方が妥当する、という風に書き直す事が出来ます。 この事と、k ≧ 4 では、n = k - 2 に対して z'n = αntn + βntn+2 で、n = k - 1 に対して y'n = antn + bntn+2 ならば、n = k に対しても、z'n = αntn + βntn+2 という置き方が妥当する事とから、「k ≧ 4 では、n = k - 2 に対して z'n = αntn + βntn+2 で、n = k - 1 に対して y'n = antn + bntn+2 ならば、n = k に対して z'n = αntn + βntn+2 という置き方が妥当し、n = k + 1 に対して y'n = antn + bntn+2 という置き方が妥当する」という結果が得られます。 n = 2 に対して z'n = αntn + βntn+2 という置き方が妥当する事は、9行目の式から言えます。 n = 3 に対して y'n = antn + bntn+2 という置き方が妥当する事は、18,19行目の式(のミスを訂正した式)から言えます。 従って、数学的帰納法によって、k = 1, 2, 3, ・・・に対して、n = 2k で30行目の置き方が妥当し、n = 2k + 1 で27行目の置き方が妥当する、と分かります。2014.10.27;2014.11.02 ここまでで、CAN-1-1-10-28の符号ミスに由来するミス、の修正は全くしていません。2014.11.02 |
|||
| ▲このページの上端へ行く | |||
【SEOテキスト】宇田雄一04.2.23,z'1(0)=z'2(0)=z'3(0)=・・・・・・・=0{x'2=-a(sinα)cosα+(sinα)(cosα)[b-(1/2)gt2]+2g(sinα)(cosα)t2,y'2=0,z'2=-a(cosα)2+(cosα)2[b-(1/2)gt2]+2g(cosα)2t2∴{x'2=(sinα)(cosα)[(1/2)(b-a)t2+(1/8)gt4],y'2=0,z'2=(cosα)2[(1/2)(b-a)t2+(1/8)gt4],↓n≧2で成り立つ,(cosα)x'n=(sinα)z'n,n≧3では↓{x'n=(tanα)z'n,y'n=y'n-2-2(sinα)x'n-1-2(cosα)z'n-1,z'n=(cosα)2z'n-2+(sinα)(cosα)x'n-2+2(cosα)y'n-1{y'3=(1/3)g(cosα)t3-(sinα)2(cosα)[2(b-a)t+gt3],z'3=0∴{y'3=(cosα)[(1/60-(1/20)(sinα)2)gt5-(1/3)(sinα)2(b-a)t3],z'3=x'3=0,n≧4では{y'n=y'n-2-2z'n-1/(cosα),z'n=z'n-2+2(cosα)y'n-1,d2/dt2(y'n,z'n)=2(0 -1/cosα,cosα 0)d/dt(y'n-1,z'n-1)+(y'n-2,z'n-2),(y'n,z'n)=(an,0)tn+(bn,0)tn+2(n=3,5,7,・・・・・),(y'n,z'n)=(0,αn)tn+(0,βn)tn+2(n=2,4,6,・・・・・) |
|||