![]() |
||||
| Q-12 | ||||
| Home > Q-12 | Sitemap | |||
Next Page Previous Page Home |
||||
| Top of This Page | ||||
| Top of This Page | wwwDGrammaticalPhysicsDac | Siteowner | |||
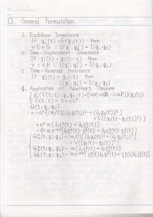
ySEOtextz0. General Formulation, a. Euclidean Invariance, If q'i(t)=E(qi(t)) then: EE; I(q'1,q'2)=I(q1,q2) b. Time-Displacement Invariance, If q'i(t)=qi(t-) then: ̓сR; I(q'1,q'2)=I(q1,q2) c. Time-Reversal Invariance, If q'i(t)=qi(-t) then: I(q'1,q'2)=I(q1,q2) 4. Application of Noether's Theorem {q'j(t'(t;);q1,q2;)=[exp(-iÃL-iaP)](qj(t)), t'(t;)=t+a0, Q(t;q1,q2)=-a0{(m/2)[(0q1(t))2+(0q2(t))2]+V([q1(t)-q2(t)]2)}+akm[0qk1(t)+0qk2(t)]-jmjkl[0qk1(t)Eql1(t)+0qk2(t)Eql2(t)] {Q0a(t;q1,q2)=(m/2)[(0q1(t))2+(0q2(t))2]+V([q1(t)-q2(t)]2), Qka(t;q1,q2)=m[0qk1(t)+0qk2(t)], Qj(t;q1,q2)=mjkl[qk1(t)0ql1(t)+qk2(t)0ql2(t)] |
||||
| (C) Yuuichi Uda. All rights reserved. | ||||