![]() |
||||
| Q-55 | ||||
| Home > Q-55 | Sitemap | |||
Next Page Previous Page Home |
||||
| £Top of This Page | ||||
| £Top of This Page | wwwDGrammaticalPhysicsDac | Siteowner | |||
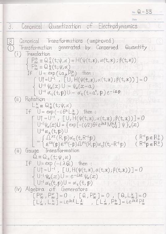
ySEOtextzCanonical Quantization of Electrodynamics,Canonical Transformations,Transformation Generated by Conserved Quantity,Translation,Rotation,Gauge Transformation,Algebra of Generators |
||||
| (C) Yuuichi Uda. All rights reserved. | ||||