![]() |
||||
| Q-86 | ||||
| Home > Q-86 | Sitemap | |||
Next Page Previous Page Home |
||||
| £Top of This Page | ||||
| £Top of This Page | wwwDGrammaticalPhysicsDac | Siteowner | |||
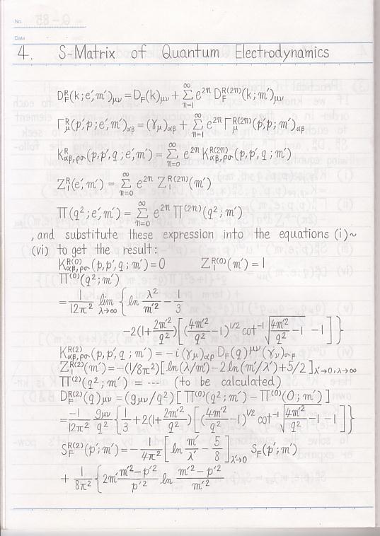
ySEOtextzS-Matrix of Quantum Electrodynamics, and substitute these expression into the equations (i)`(vi) to get the result: |
||||
| (C) Yuuichi Uda. All rights reserved. | ||||